|
ФИЗИКА
1.4.5. Преобразование скорости
Пусть в K-системе в плоскости x, y движется частица со скоростью , проекции которой νx и νy. Найдём с помощью преобразований Лоренца (1.18.4) проекции скорости этой частицы ν'x и ν'y в K'-системе, движущейся со скоростью , как показано на рис. 1.19.1.

Рис. 1.19.1
|
Для этого проведём расчёт по следующей схеме:
.
Продифференцируем выражение (1.18.4) для , и по времени t и результаты подставим в предыдущие формулы для ν'x и ν'y. После несложных преобразований получим
(1.19.1)
,
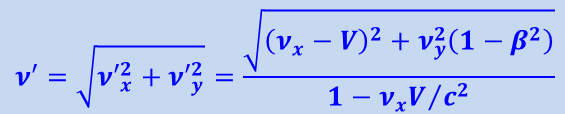
где . Отсюда скорость частицы в K'-системе
(1.19.2)
.
Эти формулы выражают релятивистский закон преобразования скорости. При они переходят в классические формулы преобразования скорости (1.3.4).
Пусть две релятивистские частицы движутся в K-системе отсчёта навстречу друг другу по одной прямой с одинаковой скоростью ν.
Найдём:
1) скорость сближения частиц в этой системе отсчёта;
2) их относительную скорость.
Прежде всего, необходимо уточнить, что понимается под каждой из этих скоростей.
- Скорость сближения – это скорость, с которой уменьшается расстояние между частицами в данной системе отсчёта. В нашем случае она просто равна 2ν, причём эта скорость может быть и больше скорости света – это ничему не противоречит.
- Под относительной скоростью имеется в виду скорость, с которой одна из частиц движется в системе отсчёта, связанной с другой частицей и перемещающейся поступательно по отношению к исходной K-системе. Чтобы найти эту скорость, выберем ось х вдоль направления движения частиц. Свяжем с одной из частиц, например, частицей 1, которая движется в положительном направлении оси х, K'-систему отсчёта (рис. 19.1). Тогда задача сводится к нахождению скорости частицы 2 в этой системе отсчёта. Подставив в формулу (1.19.1) для νx- проекции скорости νx = -ν, V = ν, получим
.
Знак минус означает, что в данном случае частица 2 движется в отрицательном направлении оси x' K'-системы отсчёта.
Отметим, что даже в том случае, когда обе частицы движутся с максимально возможной скоростью ν ≈ c, скорость ν'x не может превзойти с – это сразу видно из последней формулы.
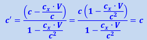
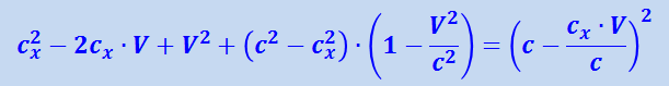
Наконец, проверим непосредственно, что релятивистские формулы преобразования скоростей соответствуют второму постулату Эйнштейна относительно неизменности скорости света с во всех инерциальных системах отсчёта.
Пусть вектор имеет в K-системе проекции cx и cy, т.е. c2 = cx2 + cy2. Воспользуемся формулой (1.19.2), преобразовав в ней подкоренное выражение следующим образом:
.
Подставив этот результат в (1.19.2), получим
.
При этом, конечно, вектор c' в K'-системе будет иметь в общем случае другое направление.
к к к
|