ФИЗИКА

Задача 6.15. Электрон находится  в одномерном бесконечно глубоком прямоугольном потенциальном ящике шириной . Вычислить вероятность того, что электрон, находясь в возбужденном состоянии (n = 2), будет находиться в средней трети ящика (рис. 6.15.3).

Рис. 6.15.3

По определению вероятность Р обнаружить  частицу в интервале x1 < x < x2 определяется равенством

(6.15.1)

где – нормированная собственная ψ-функция, отвечающая данному состоянию.

В нашем случае n = 2, тогда:

(6.15.2)

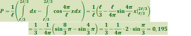
Поставив (6.15.2) в (6.15.1), получим:

(6.15.3)

Заменив в (6.15.3) , возьмем интеграл:

(6.15.4)



к к к