ФИЗИКА

Задача 6.12. Частица массой m с энергией Е налетает на прямоугольный бесконечный барьер с энергией U > E (рис. 6.12.1). Найти эффективную глубину проникновения частицы под барьер, т.е. в область x > 0 (xэфф – расстояние от границы барьера до точки, где плотность вероятности местонахождения частицы уменьшится в е раз).


Рис. 6.12.1

Из условия задачи

(6.12.1)

.

Найдём вид ψ2. Уравнение Шрёдингера для области II запишется в виде:

(6.12.2)

.

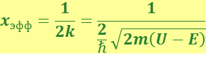
Обозначим Во второй области k2 - мнимое, т.е. k2 = ik, где . С учётом этого решение уравнения (6.12.1) можно записать в виде: . Подставляя это значение в (1), получим

,

откуда

,

т.е. чем больше масса, тем меньше глубина проникновения.

Пусть имеем электрон . Рассчитаем xэфф, когда U - E = 1 эВ. Сделаем то же самое для протона :

.

Из расчёта следует:

1. Поскольку размер атома порядка 1A0, то электрон может туннелировать из атома, а протон – практически нет.

2. Размер ядра 10-14-10-15 м, поэтому протон может туннелировать из ядра.



к к к