ÔÈÇÈÊÀ

ВВЕДЕНИЕ

Начнем с рассмотрения того, чем занимается физика, почему столь важную роль в ней играет эксперимент, что мы понимаем под физической теорией и как применяем эту теорию к реальному физическому миру. Отметим, что физика основана на количественных представлениях, а значит, естественным языком для нее служит математика.

В отличие от других наук физика старается познать самые элементарные на данный момент системы в природе, и только затем переходит к изучению более сложных систем. Так, вначале были исследованы процессы, происходящие внутри атома водорода, потом – внутри более сложной системы – молекуле водорода и только затем перешли к исследованию ещё более сложных систем, таких как твердые тела.

На каждой стадии подобного исследования физик встречается с новыми фундаментальными проблемами, которые необходимо решить прежде, чем будет сделан следующий шаг. Часто решить какую-либо проблему не удается, и тогда ему приходится учитывать, как это неполное знание может отразиться на ответе на поставленный следующий вопрос. Если ему сопутствует удача, то может оказаться, что следующая проблема или две следующие проблемы замкнут круг исследований и, вернув его к нерешенной ранее задаче, позволят на этот раз взглянуть на неё с другой точки зрения и найти решение. Прогресс в физике достигается именно с помощью таких методов.

Иногда открытия в физике обусловлены просто удачей. Существует вероятность того, что исследуя какую-нибудь проблему, можно совершенно случайно сделать важное открытие. Когда Галилей с помощью изобретенного им телескопа стал изучать планеты, то открыл, что вокруг Юпитера вращаются четыре спутника. Беккерель случайно открыл явление радиоактивности, проявив фотографическую пластинку, на которой несколько недель лежал кусок урановой руды. Учёный всегда должен быть подготовлен к тому, чтобы использовать подобную случайную удачу.

Зададим теперь вопрос: «Почему физика столь важна? Какую пользу она приносит?». Конечно, физик не создает новых зданий, не лечит болезни и не улучшает удобства наших квартир. Однако физика расширяет наши знания. Многие из применяемых в современной медицине методов диагностики и терапии были разработаны в физических лабораториях. Холодильная техника, радио, телевидение и многое другое – это результаты открытий, сделанных физиками. Если бы не было притока новых идей из физики, то не было бы и грандиозной современной техники. Таким образом, физика теснейшим образом связана с техникой, и именно в этой связи наиболее ярко проявляется роль, которую физика играет в обществе.

Учёный стремится узнать «истину» о природе. В физике мы никогда не сможем установить «абсолютной истины» о природе, так как физика – наука экспериментальная, а эксперимент никогда не бывает идеальным. Поэтому наши сведения о природе всегда будут несовершенными. Мы можем только указать характерные для данной эпохи объем и точность сведений о природе, полностью сознавая при этом, что и объём, и точность этих сведений возрастут в следующую эпоху. В основе нашего понимания физического мира лежат экспериментальные наблюдения и измерения; на этих измерениях и наблюдениях основываются теории, которые упорядочивают факты и углубляют наши познания.

В физике, если получен какой-то результат, мы вполне можем задать вопрос: «Что случилось бы, если «А» (какое-то обстоятельство) отсутствовало?». Чтобы ответить на такой вопрос, мы просто снова включим нашу установку в отсутствии «А» и еще раз проведем эксперимент. В идеальном случае физика имеет дело с точными условиями, которые можно менять и воспроизводить.

Цель физики – обеспечить систематическое и точное описание всех физических явлений с тем, чтобы это описание можно было, в конечном счете, свести к соотношению между числами. Результаты всех экспериментов можно выразить с помощью чисел. Так, например, измерив физическую величину, мы можем найти, что она равна 2,17 единицы. Однако этого недостаточно. Необходимо указать, насколько надежен этот результат. Обычно результат приводят в следующем виде: например 2,17±0,06 единицы. Это означает, что экспериментатор измерял исследуемую величину много раз и получил среднее значение, равное 2,17. Кроме того, он тщательно проверил свое оборудование, проградуировав приборы по соответствующим эталонам, а также проверил воспроизводимость результатов; на основании всего этого он приписал полученному результату вероятную ошибку ±0,06.

Если другой экспериментатор, обладающий более совершенным оборудованием, вновь измерит эту величину и получит значение 2,1746±0,0004, то такой результат будет совместим с предыдущим, так как он не выходит за пределы вероятной ошибки первого измерения.

Увеличение точности измерения играет важную роль в развитии физики. До какой степени мы можем улучшать точность измерения? Что требуется, чтобы определить точное значение какой-либо величины? Предположим, что мы будем улучшать свое экспериментальное оборудование до тех пор, пока оно станет совершенным. Сможем ли мы теперь получить точное значение данной величины? Первым ответом на этот вопрос будет: «Нет, так как мы никогда не сможем создать действительно совершенного прибора». Зададим следующий вопрос: «Не будем учитывать тот факт, что сделать совершенный прибор невозможно, а вообразим, что такой прибор у нас имеется; можем ли тогда в принципе произвести точное измерение?» Этот вопрос отличен от первоначального вопроса. Первый вопрос был чисто практический и на него следовал немедленный и очевидный ответ. Второй вопрос относится к мысленному эксперименту, приёму, часто применяемому физиками для исследования проблем, которые нельзя изучать непосредственно.

Мысленный эксперимент позволяет ставить фундаментальные вопросы – вопросы, которых уже нельзя избежать, ссылаясь на несовершенство приборов. В нашем случае мысленный эксперимент с идеальным прибором требует, что бы мы ответили на фундаментальный вопрос: «Существует ли действительно точное значение физической величины?» Этот вопрос уводит нас в мир столь малых размеров, что их трудно оценивать с точки зрения повседневного опыта. Тем не менее, ответ может быть получен в рамках квантовой теории, которую следует применять при решении всех проблем, возникающих, когда речь идёт об объектах предельно малых размеров, о микромире. Согласно этой теории, в области микромира не существует точных значений физических величин. Более того, согласно квантовой теории, бессмысленно задавать вопрос о точном значении какой-либо физической величины, так как все результаты измерений в принципе являются до некоторой степени неопределенными, причём эта неопределенность не столько связана с недостатками и несовершенством аппаратуры, сколько лежит в природе вещей. Так, например, нельзя придумать и поставить эксперимент, с помощью которого можно было бы определить точные размеры атома, так как, строго говоря, атом не имеет вполне определенных размеров. Отсюда следует, что нельзя также осуществить абсолютно точное измерение длины бруска, так как все тела состоят из атомов.

Научный метод. Чтобы полностью использовать имеющиеся в нашем распоряжении факты, мы должны понять связь между ними: необходимо систематизировать полученную информацию и выяснить, как одно событие вызывает другое или оказывает на него влияние. Поступая таким образом, мы следуем научному методу: наблюдение, рассуждение, опыт.

Иоганн Кеплер следовал научному методу, анализируя огромное число наблюдений положения планет. На основании этих данных он смог дать правильное описание движения планет: планеты движутся вокруг Солнца по эллиптическим орбитам. Приём, которым пользовался Кеплер, - накопление фактов и построение различных гипотез до тех пор, пока одна из них не объяснит надлежащим образом всю полученную информацию, - не единственный способ использования научного метода. Разные учёные работают различными методами.

Физические теории. Когда мы сталкиваемся с группой фактов, перед нами встает задача – простейшим путём установить связь между этими фактами. Если это удаётся, то появляется теория. Она должна объяснять все накопленные эмпирические сведения о данном явлении и, кроме того, должна правильно предсказывать результаты любых новых экспериментов. Если между теорией и экспериментом обнаруживается какое-либо несоответствие, то следует так изменить теорию, чтобы она объясняла новые данные. Теории развиваются путём последовательных уточнений и усовершенствований. Ценность теории определяется тем, насколько чётко можно установить тот предел, за которым она оказывается несправедливой. Строго говоря, никогда нельзя доказать справедливость данной теории, хотя её несправедливость можно установить экспериментами.

К хорошей физической теории предъявляются следующие требования:

1. Теория должна исходить из небольшого числа фундаментальных положений и позволять сделать большое количество предсказаний, доступных проверке. Образцами подобных теорий являются теория относительности и квантовая механика.

2. Теория должна быть достаточно общей. Так, теория тяготения Ньютона объясняет, почему одни предметы падают вниз, а другие (например, шары, наполненные гелием) поднимаются вверх. Теория должна по возможности объяснить наибольшее число фактов.

3. Теория должна быть точной.

4. Теория должна допускать возможность усовершенствования. Физические теории должны расширяться и развиваться по мере получения новой информации. Теория, которую нельзя усовершенствовать окажется полностью несостоятельной при первой же неудаче.

Законченные теории возникают из грубых моделей. В физике модель может быть математической, либо главным образом механической.

Большинству людей легче уяснить суть какой-либо проблемы с помощью конкретных образов, а не путём абстрактных рассуждений. Когда фактов мало, модель по необходимости получается грубой. По мере увеличения объёма информации модель постепенно видоизменяется и усложняется и иногда становится вполне завершенной теорией.

Стало традицией, что теорию, проверенную и подтверждённую многочисленными экспериментами, начинают рассматривать как физический закон. Однако термин «закон» несколько произволен, так как многие «законы» теперь признаны неточными. Так, например, неточен закон Ома, неточны законы динамики Ньютона т.д.

В настоящее время мы создаём модели (или теории), относящиеся почти ко всем областям физики – к структуре ядра, поведению элементарных частиц и их взаимодействиям, эволюции звёзд и даже к пространству и времени. Такие теории иногда оказываются успешными, но иногда терпят неудачу. Прогресс продолжается: у нас нет «законченных» или «совершенных» теорий, а есть лишь множество идей, которые формулируются и подвергаются проверке. Каждая новая идея, каждый новый эксперимент расширяют границы нашего познания и позволяют глубже заглянуть в тайны природы.

Элементарная математика

Так как физика – количественная наука, в которой результаты экспериментальных наблюдений и предсказания теории могут быть всегда сведены к числам, нашим языком является математика. Замечателен тот факт, что результаты математических вычислений можно сопоставить с реальным миром. Почему это возможно? Мы не можем дать ответа на этот вопрос.

Степени 10

Физический мир охватывает как очень малые, так и очень большие объекты – размеры атома и размеры Вселенной, время, которое требуется для того, чтобы свет дошёл от страницы книги до нашего глаза, и время, в течение которого существует Вселенная. Когда нам приходится иметь дело с такими огромными интервалами расстояний и времён (а также других величин), мы сталкивается с проблемой записи чисел. Так, например, если мы хотим получить выражение для отношения диаметра монеты в десять копеек к расстоянию от Земли до Солнца, мы должны записать:


Очевидно, что подобные способы записи не являются удобными. Чтобы преодолеть эту трудность, мы пользуемся для записи числа возведением 10 в степень. Умножим число 10 само на себя несколько раз, получим:



Таким образом, число, которое показывает, сколько раз 10 умножается само на себя, является верхним индексом у 10 (и называется показателем степени 10, или степенью, в которую возводится 10). Очевидно, 101 = 10 и по определению 100 = 1.

Произведение степеней 10 выражается в виде

Следовательно, общее выражение для произведения 10n - 10m имеет вид 10(n+m). Если 10 в некоторой степени стоит в знаменателе, то показатель степени записывается со знаком минус:

Объединяя эти правила, получаем правила деления:

Пользуясь этим обозначением, мы можем теперь записать отношение диаметра монеты к расстоянию от Земли до Солнца в более удобной форме 6,7 10-14. Показатель степени 10 иногда называют «порядком величины». Мы можем приближенно сказать, что Земля на два порядка величины тяжелее Луны (в действительности Земля тяжелее Луны примерно в 81 раз). Умение мыслить порядками величин (степенями 10) оказывается очень полезным при попытках приблизиться к пониманию окружающего нас физического мира.

Дробный показатель степени представляет собой m-ый корень из числа N, например, . Это означает, что возводя в степень m мы снова получим N:

Пример:

.


Геометрия

Площадь круга

Площадь поверхности шара

Объём шара

Объём сферической оболочки толщиной dr


Формулы алгебры и тригонометрия



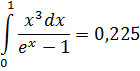
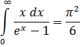
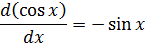
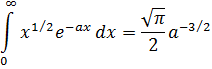
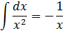
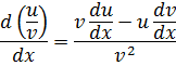
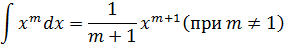
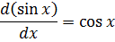
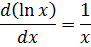
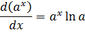
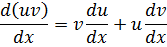
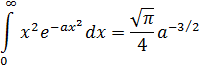
Формулы дифференциального и интегрального вычислений


Произведения векторов

где , , - векторы;

- единичный вектор, нормальный плоскости, содержащей векторы и ;

α - угол между векторами и .



ê ê ê