ФИЗИКА

2.3.4. Работа газа при изменении его объёма

Для рассмотрения конкретных процессов найдём в общем виде внешнюю работу, совершаемую газом при изменении его объёма. Рассмотрим, например, газ, находящийся под поршнем в цилиндрическом сосуде (рис. 2.3.3).


Рис. 2.3.3


Если газ, расширяясь, передвигает поршень на бесконечно малое расстояние de, то производит над ним работу

,

где s – площадь поршня;

s - de = dV - изменение объёма системы.

Таким образом,

(2.3.6)

.

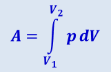
Полную работу, совершаемую газом при изменении его объёма от V1 до V2, найдём интегрированием формулы (2.3.6):

(2.3.7)

.

Результат интегрирования определяется характером зависимости между давлением и объёмом газа. Найденное для работы выражение (2.3.7) справедливо при любых изменениях объёма твёрдых, жидких и газообразных тел.

Произведённую при том или ином процессе работу можно изобразить графически с помощью кривой в координатах p, V. Пусть изменение давления газа при его расширении изображается кривой на рисунке 2.3.4. При увеличении объёма на dV совершаемая газом работа равна p dV , т.е. определяется площадью полоски с основанием dV, заштрихованной на рисунке. Поэтому полная работа, совершаемая газом при расширении от объёма V1 до V2, определяется площадью, ограниченной осью абсцисс, кривой p = f(V) и прямыми V1 и V2.


Рис. 2.3.4


Как уже отмечалось, графически можно изобразить только равновесные процессы – процессы, состоящие из последовательности равновесных состояний.

Они протекают так, что изменение термодинамических параметров за конечный промежуток времени бесконечно мало. Все реальные процессы неравновесны (они протекают с конечной скоростью), но в ряде случаев неравновесностью реальных процессов можно пренебречь (чем медленнее процесс протекает, тем он ближе к равновесному). В дальнейшем рассматриваемые процессы будем считать равновесными.



к к к